MOS管參數計算
設計電路尺寸時,需要用到薩支唐公式,那么如何得到公式中的Vth和unCox呢?
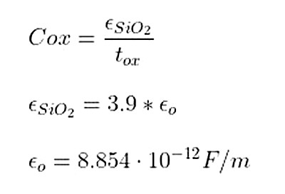
方法1:看工藝的model,一般可以直接找到PMOS和NMOS的Vth0,u0和tox,根據下列公式由tox計算得出Cox,

方法2:搭單個管子的電路,DC掃描柵極輸入電壓,得到電流值,用matlab處理得到擬合線性曲線,根據斜率和截距,計算unCox、upCox和Vtn、Vtp。
方法3:利用書上的model數據進行估算,以下是allen書上的0.8um Nwell CMOS工藝,可以看到PMOS管和NMOS管的Vt大約為0.7V,unCox=110,upCox=50

〈烜芯微/XXW〉專業制造二極管,三極管,MOS管,橋堆等,20年,工廠直銷省20%,上萬家電路電器生產企業選用,專業的工程師幫您穩定好每一批產品,如果您有遇到什么需要幫助解決的,可以直接聯系下方的聯系號碼或加QQ/微信,由我們的銷售經理給您精準的報價以及產品介紹
聯系號碼:18923864027(同微信)
QQ:709211280

