在平時的工作中,可控硅整流器作為一種常用到的重要元件,在工程師們的設計方案中出現頻率是很高的。其中,6脈沖可控硅整流器和12脈沖可控硅整流器都非常受歡迎。那么,這兩種整流器可以通用嗎?二者有哪些不同呢?在今天的文章中,小編將會從他們的運行原理入手,為大家簡析一下他們的不同之處。
首先要為大家介紹的是6脈沖可控硅整流器的運行工作原理。這里所謂的6脈沖,指的是以6個可控硅組成的全橋整流,由于有6個開關脈沖對6個可控硅分別控制,所以我們一般稱之為6脈沖整流。這種6脈沖整流器的基礎結構如圖1所示。


圖1 6脈沖整流器
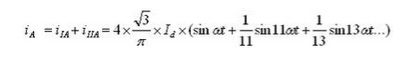
這里我們以圖1所示的6脈沖整流器運行結構為基礎,來對它的運行特點進行簡要分析。我們暫時忽略三相橋式可控硅整流電路換相過程和電流脈動,假定交流側電抗為零,直流電感為無窮大,延遲觸發角a為零,則交流側電流傅里葉級數展開可以計公式為:


由上文中的公式,我們可以得出以下一個結論,那就是在6脈沖整流器的電流中,含6K(k為正整數)次諧波,即5、7、11、13...等各次諧波,各次諧波的有效值與諧波次數成反比,且與基波有效值的比值為諧波次數的倒數。


圖2 計算機仿真的6脈沖A相的輸入電壓、電流波形
依據對上文中兩個公式的計算,我們可以得出結論,那就是在12脈沖可控硅整流器運行過程中,兩個整流橋產生的5、7、17、19、...次諧波相互抵消,注入電網的只有12k次諧波,即11、13、23、25等各次諧波,且其有效值與與諧波次數成反比,而與基波有效值的比值為諧波次數的倒數。


圖3 12脈沖整流器示意圖(由2個6脈沖并聯組成)
在這種12脈沖的可控硅整流器運行過程中,其本身橋1的網側電流傅立葉級數展開可得出公式為:


則合成的網側線電流可計算為:


由此可見,在12脈沖的可控硅整流器運行過程中,兩個整流橋產生的5、7、17、19、...次諧波相互抵消,注入電網的只有12k(k為正整數)次諧波,即11、13、23、25等各次諧波,且其有效值與與諧波次數成反比,而與基波有效值的比值為諧波次數的倒數。


圖4 計算機仿真的12脈沖UPS A相的輸入電壓、電流波形
烜芯微專業制造二極管,三極管,MOS管,橋堆等20年,工廠直銷省20%,4000家電路電器生產企業選用,專業的工程師幫您穩定好每一批產品,如果您有遇到什么需要幫助解決的,可以點擊右邊的工程師,或者點擊銷售經理給您精準的報價以及產品介紹
烜芯微專業制造二極管,三極管,MOS管,橋堆等20年,工廠直銷省20%,4000家電路電器生產企業選用,專業的工程師幫您穩定好每一批產品,如果您有遇到什么需要幫助解決的,可以點擊右邊的工程師,或者點擊銷售經理給您精準的報價以及產品介紹

